Tue. Apr 28th, 2026

Indian scientists have developed a method to calculate more realistic properties of stellar atmospheres

In a major advance in computational astrophysics a team of scientists have developed a method to compute more realistic properties of stellar atmospheres. The method opens the door to more realistic simulations of stellar spectra — the primary tool astronomers use to decode the physical conditions in stars, circumstellar disks, and interstellar clouds.

 

Atmospheres of the Sun and stars are known to be a heterogeneous mixture of neutral and ionized matter immersed in a diffuse radiation field. Interaction between the matter and radiation in such an atmosphere involves several physical phenomena that directly affects both the constituents.

 

Though it is easy to compute their properties if we assume that they are in equilibrium, in reality, this is not so. This makes it an extremely complicated problem.

 

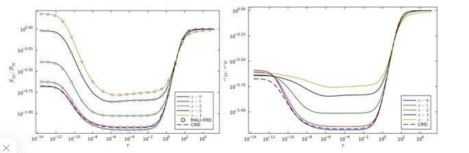
Until now, most models relied on an important simplification in which it was assumed that while atoms could deviate from equilibrium in terms of energy states, their velocities (how fast they move around) still followed a neat, predictable distribution — the Maxwellian curve that describes equilibrium. This assumption, while convenient, is not always realistic, especially for atoms in short-lived excited states.

 

In reality, stellar atmospheres are chaotic. Photons scatter, energy levels fluctuate, and velocity distributions can stray from the equilibrium picture. Capturing this complexity requires what astrophysicists call full non-local thermodynamic equilibrium (FNLTE) radiative transfer — a formidable problem that scientists first described back in the 1980s but couldn’t solve due to computational limitations.

Source


Related Post